Veličina fonta
Sivi ton
Kontrast
Disleksija
Novosti
23.03.2026.

Otvoreno javno savjetovanje o novom Pravilniku o specijalizacijama

Ministarstvo zdravstva poziva svu zainteresiranu javnost, a posebno mlade liječnike, magistre farmacije i medicinske biokemije te studente završnih godina, na sudjelovanje u savjetovanju o Nacrtu pravilnika o standardima i načinu prijma specijalizanata.

O čemu je riječ?

Novim Pravilnikom detaljno se uređuju standardi i postupci za prijam specijalizanata u zdravstvene ustanove kojima je osnivač Republika Hrvatska ili jedinice lokalne samouprave. Cilj je osigurati transparentan i objektivan sustav odabira kandidata.

Ključne stavke prijedloga Pravilnika:

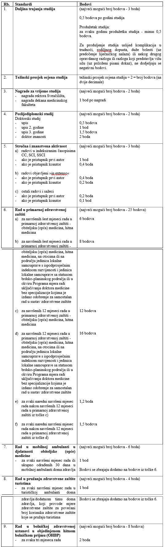
  • Kriteriji bodovanja: Za utvrđivanje redoslijeda kandidata bodovat će se duljina studiranja, prosjek ocjena, nagrade tijekom studija, znanstvena aktivnost, radno iskustvo u sustavu te razgovor s Povjerenstvom.
  • Postupak prijave: Javni natječaji objavljivat će se u Narodnim novinama i na mrežnim stranicama ustanova, s rokom prijave od 15 dana.
  • Testiranja: Uz razgovor s Povjerenstvom, predviđeno je psihološko testiranje, a za kirurške grane i testiranje manualne spretnosti.
  • Transparentnost: Odluku o izboru donosi ravnatelj ustanove na prijedlog Povjerenstva, uz mogućnost podnošenja prigovora upravnom vijeću.

Kako sudjelovati?

Svoje komentare, prijedloge i mišljenja možete dostaviti putem portala e-Savjetovanja. Vaš doprinos je ključan za kreiranje pravednijeg sustava ulaska u specijalističko usavršavanje.

U savjetovanju putem portala „e-Savjetovanja“ mogu sudjelovati samo registrirani korisnici, pa Vas molimo da se registrirate prije komentiranja.

Detaljne informacije o postupku registracije možete pronaći na:  
https://savjetovanja.gov.hr/o-savjetovanjima/sto-su-to-e-savjetovanja-i-kako-se-ukljuciti-1123/kako-se-registrirati/1106

  • Rok za sudjelovanje: Savjetovanje je otvoreno do 18. travnja 2026. godine.

Nacrt pravilnika

Odluka o osnivanju RS-Pravilnik o načinu prijma specijalizanata

OBRAZLOŽENJE

Ministarstvo zdravstva RH

Standardi za utvrđivanje redoslijeda pristupnika
Ocjena razgovora s pristupnikom